郑州市国防动员(人民防空)办公室网站logo
【名单公布】获奖名单公布啦!快来看看你获奖了吗?
来源:本站  时间:2024-11-14 09:59

为教育引导广大干部群众强化国防观念和忧患意识,增强关心国防、热爱国防、建设国防、保卫国防的思想自觉和行动自觉,中共郑州市委宣传部、郑州市教育局、郑州市国防动员办公室联合小红书APP制作播出“国防公开课”专题节目,活动一经推出,便受到大家的热烈反响,取得了圆满成功。现将活动奖品发放事宜及获奖者名单公布如下:

一、奖品发放方式:邮寄送达。中奖奖品,按照中奖者填写的地址和电话。采用邮寄的方式将奖品送达至中奖者手中。

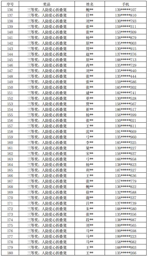
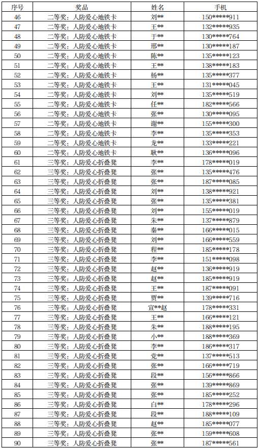
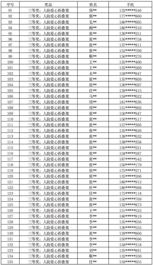
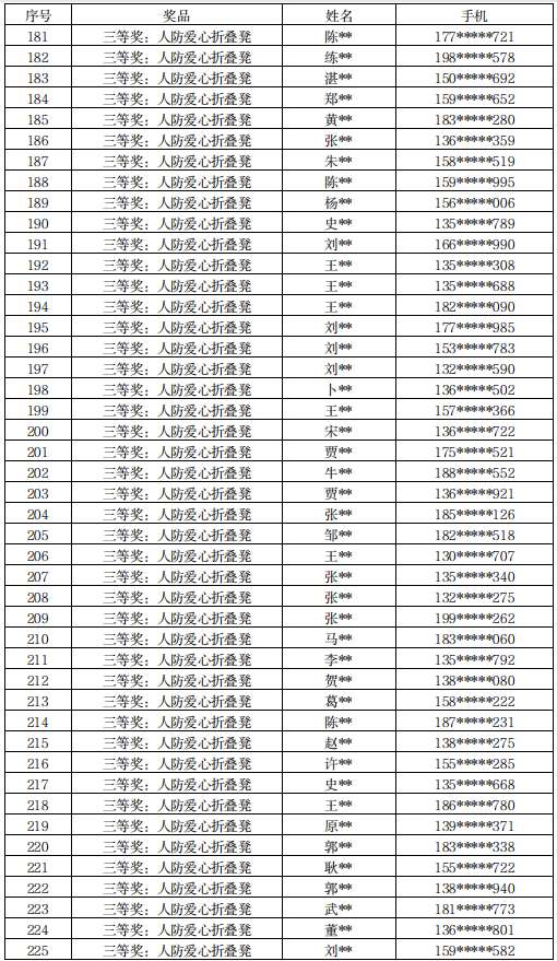
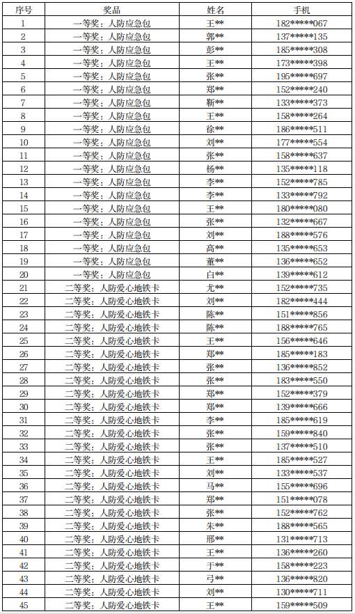
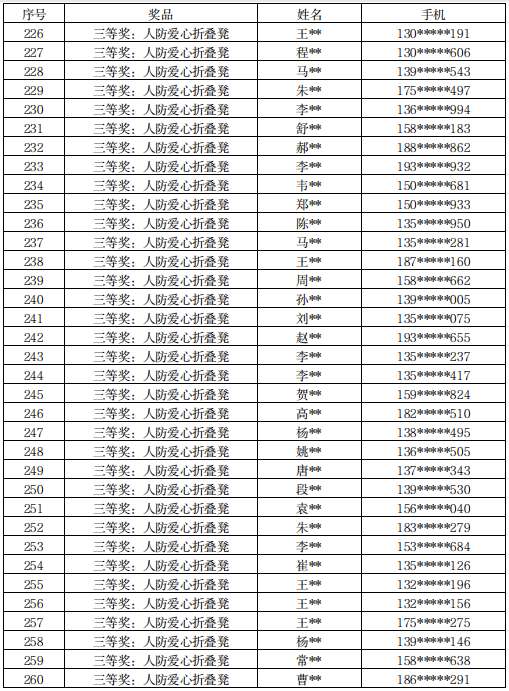
二、获奖者名单:

感谢大家积极参与!!!

打印此文 关闭窗口